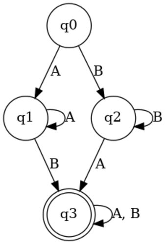
Rust言語を用いて有限オートマトンを実装し,競技プログラミングの簡単な問題を解いてみます. ネタ記事の域を出ませんが,楽しんでいただければ.
引用をストックしました
引用するにはまずログインしてください
引用をストックできませんでした。再度お試しください
限定公開記事のため引用できません。